Определив размеры основных геометрических элементов подводного крыла, рассчитывают угол атаки крыла в зависимости от нагрузки, конструкции и погружения. Этот расчет также считается приближенным, поэтому угол атаки следует уточнить при натурных испытаниях мотолодки. Для этого необходимо предусмотреть такую конструкцию крепления несущих плоскостей, чтобы во время доводочных испытаний имелась возможность изменения угла атаки крыльев в пределах до 3°. После окончательного подбора угла атаки положение крыла жестко фиксируется.
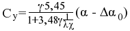
Для практического расчета угла атаки носового крыла можно воспользоваться методикой (разработка А. Лукашевича), согласно которой коэффициент подъемной силы крыла связан с его конструктивными элементами, углом атаки и погружением следующей зависимостью:
.
Входящие в эту формулу величины ν и χ определяются по графикам (рис. 18 и
19) в зависимости от относительного погружения
и относительного размаха
крыла λ.

Pис. 18. График для определения величины λ.

Рис. 19. График для определения величины с.
∆α0 - величина уменьшения угла нулевой подъемной силы при приближении профиля к свободной поверхности определяется по формуле
∆α0 = ∆α0симм. - ∆αf ,
где
;
∆αf = Θ2α0,
α0 - угол нулевой подъемной силы профиля (выраженный в радианах, он численно равен относительной толщине профиля при небольших относительных толщинах).
Значения коэффициентов Θ1 и Θ2 определяются по графикам, представленным на рис. 20 и рис. 21 в зависимости от относительного погружения крыла.

Рис. 20. График для определения коэффициента Θ2.

Рис. 21. График для определения коэффициента Θ1.
α - гидродинамический угол атаки крыла определяется как (рис.)
α = α' + ψ,
где α' - установочный угол атаки, ψ - дифферент катера.
Если теперь ввести обозначения:
;
С''y = ah(α0 - ∆α0 + Ψ),
то для определения установочного угла атаки получим формулу

При использовании этих формул во всех случаях углы следует выражать в радианах.






